Niels Warburton from the Massachusetts Institute of Technology shares an insight into his latest work with Sam Gralla and Scott Hughes published in Classical and Quantum Gravity.

Niels Warburton is a Marie Curie postdoctoral fellow currently working at the Kavli Institute for Astrophysics and Space Research at the Massachusetts Institute of Technology. He works on calculating gravitational waveforms from the capture of compact objects by black holes ranging from hundreds to millions of solar masses. Outside of research he often encounters other types of waves on the waters around Boston where he is a keen sailor. Niels co-authored the article recently published in CQG with Sam Gralla of the University of Arizona and Scott Hughes at the Massachusetts Institute of Technology.
The first merging black holes recently detected by LIGO were strange objects indeed. Torturing reality so that even light cannot escape from their interiors, as they whirled around each other at over half the speed of light, the disturbances they induced in space and time propagated outwards as gravitational waves. The measured characteristic chirp, an upsweep in frequency and amplitude of the waves, signaled that the two black holes had merged into a single, larger black hole. Amazingly, though this remnant was more than sixty times as massive as our sun it could be described by just two numbers – its mass and its spin. This is an unusual property for any macroscopic object as they usually require untold trillions of numbers, specifying all the states, positions and velocities of their constituent parts, to be fully described. Isolated black holes on the other hand, despite being solutions to the fiendishly complicated and non-linear Einstein field equations, are comparatively very simple objects.
The mass of a black hole can grow unbounded – the more matter you throw in the larger the black hole becomes. On the other hand, Einstein’s theory of General Relativity predicts that there is a maximum rate at which a black hole of a given mass can spin. Were it possible to spin them any faster they would loose their event horizon cloak, exposing a now ‘naked’ singularity to the universe. It is generally believed the laws of physics do not allow this to happen but when a black hole rotates very rapidly and gets close to breaking this rule strange new physics appears. As we show in our recent paper, this interesting regime can potentially be probed through future gravitational wave measurements.
When a compact object, such a stellar mass black hole or a neutron star, is captured into orbit around a much larger black hole the resulting binary system will emit gravitational waves. As the waves are radiated, the orbit decays and the frequency of the gravitational waves increases. For black holes that are not rotating too fast, the amplitude of the radiation also grows until the compact object reaches the last stable orbit and plunges rapidly into the black hole. This rise in frequency and amplitude before being quickly shut off is known as a chirp and it is the characteristic signal that LIGO looks for when hunting for black holes. It turns out though that not all black hole binaries chirp.
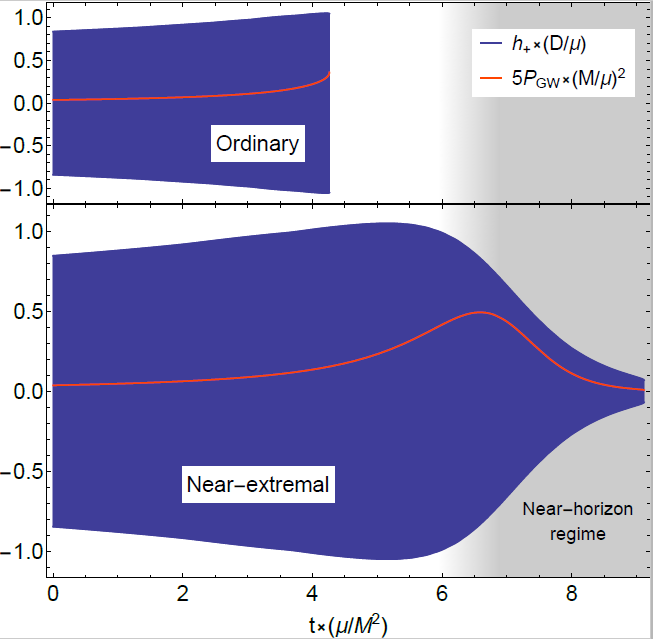
Black holes that rotate at exactly the maximum rate are said to be extremal. In this case the location of the last stable orbit moves inward until it is very close to the event horizon. This allows the smaller body access to the near-horizon regime where new symmetries arise. Anywhere symmetries appear in nature makes physicists sit up and take notice and researchers interested in correspondences between gravity and conformal field theories have long taken an interest in extremal black holes. Recent work has shown that nearly maximally rotating, or near-extremal, black holes have similar properties to their extremal cousins. One particularly curious feature is that instead of the amplitude of the gravitational radiation increasing as the smaller body orbits ever closer to the black hole (as happens for slower rotating black holes) for near-extremal black holes when the smalled body enters the near-horizon regime the amplitude of the radiation starts to decrease. Near-extremal black hole binaries do not chirp.
During the late stages of the waveform for the inspiral of a compact object into a rapidly rotating black holes two unusual things happen: (i) the amplitude of the waveform decreases exponentially and (ii) the frequency of the waveform increases rapidly as the extreme frame dragging around the black hole locks the compact object’s rotation to the event horizon’s (seen from a great distance the compact object would seem to be orbiting the black hole at the speed of light). This gives the waveform a very distinctive look.

Gravitational waveforms from the inspiral of a compact object into (top) an ordinary black hole spinning at 97% of the maximum speed and (bottom) a near-extremal black hole spinning very close to the maximum speed. The amplitude of the ordinary waveform increases throughout the entire inspiral, and feature characteristic of a chirp. The near-extremal binary has a different behaviour: the waveform amplitude decreases exponentially towards the end. Near-extremal binary systems do not chirp. The behavior of the frequency is best `heard’ by converting the waveforms to sound. Image © IOP Publishing, all rights reserved.
When the waveform is converted into sound we discover that, instead of chirping, extremal black holes have an ethereal singing sound.
Waveform sounds
These simulated waveforms are for an inspiral of a compact object into a massive black hole. To make the signal audible the frequency has been increased from millihertz to kilohertz.
Ordinary: The waveform for a slowly rotating black hole chirps.
Near-extremal: The waveform for a rapidly rotating black hole has an ethereal singing sound as towards the end the frequency rises rapidly and the amplitude decays.
This new type of singing waveform will occur when the larger black hole is rotating at over 99.99% of the maximum speed. This is above the widely believed `Thorne limit’ which suggests the effects of accreting matter will limit black holes to spinning at most 99.8% of the maximum rate. Our view is that whilst near-extremal black holes might be unlikely to exist, it is certainly worth looking for them as they are a most exotic example of an already exotic object (a black hole) and finding one in nature would be truly fascinating. If near-extremal black holes exist in nature the best candidate sources for detection are massive black holes which weigh millions of times the mass of the sun. When a stellar mass compact object falls into one of these monsters the gravitational waves will be detectable with the future eLISA mission from the European Space Agency. Recently the success of the LISA pathfinder mission demonstrated that key technology required for eLISA are ready to be deployed.
Where does Gargantua come in? In Christopher Nolan’s science-fiction epic Interstellar this is the name of the massive black hole. In the film, when the protagonists visit a planet orbiting very close to the black hole they experience gravitational time dilation so strong that one hour on the planet corresponds to seven years passing on Earth. Kip Thorne calculated in his book `The Science of Interstellar‘ that this would only be possible if Gargantua was rotating at 99.999999999999% of the maximum rate. Certainly this is above our required 99.99% rate and so if a real Gargantua is out there in the universe gravitational-wave detectors like eLISA just might find it.

A view of Gargantua derived from fig 15a, Gravitational lensing by spinning black holes in astrophysics, and in the movie Interstellar, Oliver James et al 2015 Class. Quantum Grav. 32 065001, image CC-BY
Read the full article in Classical and Quantum Gravity:
Inspiral into Gargantua
Samuel E Gralla, Scott A Hughes and Niels Warburton
Samuel E Gralla et al 2016 Class. Quantum Grav. 33 155002
Sign up to follow CQG+ by entering your email address in the ‘follow’ box at the foot of this page for instant notification of new entries.
CQG papers are selected for promotion based on the content of the referee reports. The papers you read about on CQG+ have been rated ‘high quality’ by your peers.
This work is licensed under a Creative Commons Attribution 3.0 Unported License.
								
You must be logged in to post a comment.